Курсовая работа: Загрезнения окружающей сруды
- ЗАГРЯЗНЕНИЕ ОКРУЖАЮЩЕЙ СРЕДЫ
ЗАГРЯЗНЕНИЕ ОКРУЖАЮЩЕЙ СРЕДЫ — антропогенно обусловленные поступления вещества и энергии в окружающую среду, приводящие к ухудшению ее состояния с точки зрения социально-экономических интересов обществ
ОСНОВНЫЕ ТИПЫ ЗАГРЯЗНЕНИЯ:
- Физическое (тепловое, шумовое, электромагнитно, световое, радиоактивное)
- Химическое (тяжелые металлы, пестициды, пластмассы и др. химические вещества)
- Биологическое (биогенное, микробиологическое, генетическое)
- Информационное (информационный шум, ложная информация, факторы беспокойства)
Любое химическое загрязнение – это появление химического вещества в непредназначенном для него месте. Загрязнения, возникающие в процессе деятельности человека, являются главным фактором его вредного воздействия на природную среду.
Химические загрязнители могут вызывать острые отравления, хронические болезни, а также оказывать канцерогенное и мутагенное действие. Например, тяжелые металлы способны накапливаться в растительных и животных тканях, оказывая токсическое действие. Кроме тяжелых металлов, особо опасными загрязнителями являются хлордиоксины, которые образуются из хлорпроизводных ароматических углеводородов, используемых при производстве гербицидов. Источниками загрязнения окружающей среды диоксинами являются и побочные продукты целлюлозно-бумажной промышленности, отходы металлургической промышленности, выхлопные газы двигателей внутреннего сгорания. Эти вещества очень токсичны для человека и животных даже при низких концентрациях и вызывают поражение печени, почек, иммунной системы.
Наряду с загрязнением окружающей среды новыми для нее синтетическими веществами, большой ущерб природе и здоровью людей может нанести вмешательство в природные круговороты веществ за счет активной производственной и сельскохозяйственной деятельности, а также образования бытовых отходов.
Загрязнению подвергаются атмосфера (воздушная среда), гидросфера (водная среда) и литосфера (твердая поверхность) Земли.
Основные источники загрязнения | Основные вредные вещества | |
Атмосфера | Промышленность Транспорт Тепловые электростанции | Оксиды углерода, серы, азота Органические соединения Промышленная пыль |
Гидросфера | Сточные воды Утечки нефти Автотранспорт | Тяжелые металлы Нефть Нефтепродукты |
Литосфера | Отходы промышленности и Сельского хозяйства Избыточное использование Удобрений | Пластмассы Резина Тяжелые металлы |
Вначале деятельность людей затрагивала лишь живое вещество суши и почву. В 19 в., когда начала бурно развиваться индустрия, в сферу промышленного производства начали вовлекаться значительные массы химических элементов, извлекаемых из земных недр. При этом воздействию стала подвергаться не только наружная часть земной коры, но также природные воды и атмосфера.
В середине 20 в. некоторые элементы стали использоваться в таком количестве, которое сопоставимо с массами, вовлеченными в природные круговороты. Низкая экономичность большей части современной индустриальной технологии привела к образованию огромного количества отходов, которые не утилизируются в смежных производствах, а выбрасываются в окружающую среду. Массы загрязняющих отходов столь велики, что создают опасность для живых организмов, включая человека.

Рис. 1. ЗАГРЯЗНЕНИЕ АТМОСФЕРЫ различными отраслями промышленности
Хотя химическая промышленность не является главным поставщиком загрязнений, для нее характерны выбросы, наиболее опасные для природной среды, человека, животных и растений. Термин «опасные отходы» применяют к любого рода отходам, которые могут нанести вред здоровью или окружающей среде при их хранении, транспортировке, переработке или сбросе. К ним относятся токсичные вещества, воспламеняющиеся отходы, отходы, вызывающие коррозию и другие химически активные вещества.
В зависимости от особенностей циклов массообмена загрязняющий компонент может распространяться на всю поверхность планеты, на более или менее значительную территорию или иметь локальный характер. Таким образом, экологические кризисы, являющиеся результатом загрязнения окружающей среды, могут быть трех сортов – глобальные, региональные и локальные
Одной из проблем, имеющих глобальный характер, является возрастание содержания в атмосфере углекислого газа в результате техногенных выбросов. Наиболее опасным последствием этого явления может стать повышение температуры воздуха благодаря «парниковому эффекту». Проблема нарушения глобального цикла массобмена углерода уже переходит из области экологии в экономические, социальные и, в конце-концов, политические сферы.
В декабре 1997 в г. Киото (Япония) был принят Протокол к рамочной конвенции Организации объединенных наций об изменении климата (датированной маем 1992) (см. также КИОТСКИЙ ПРОТОКОЛ). Главное в Протоколе – количественные обязательства развитых стран и стран с переходной экономикой, включая Россию, по ограничению и снижению выбросов парниковых газов, прежде всего СО2, в атмосферу в 2008–2012. У России разрешенный уровень выбросов парниковых газов на эти годы – 100% от уровня 1990. Для стран ЕС в целом он составляет 92%, для Японии – 94%. У США предполагалось 93%, однако эта страна отказалась участвовать в Протоколе, поскольку снижение выбросов углекислого газа означает понижение уровня выработки электроэнергии и, следовательно, стагнацию промышленности. 23 октября 2004 Государственная Дума России приняла решение о ратификации Киотского Протокола.
К загрязнениям регионального масштаба относятся многие отходы промышленных предприятий и транспорта. В первую очередь, это касается диоксида серы. Он вызывает образование кислотных дождей, поражающих организмы растений и животных и вызывающих заболевания населения. Техногенные оксиды серы распределяются неравномерно и наносят ущерб отдельным районам. За счет переноса воздушных масс они зачастую пересекают границы государств и оказываются на территориях, удаленных от индустриальных центров.
В крупных городах и промышленных центрах воздух, наряду с оксидами углерода и серы, часто загрязнен оксидами азота и твердыми частицами, выбрасываемыми автомобильными двигателями и дымовыми трубами. Нередко наблюдается образование смога. Хотя эти загрязнения носят локальных характер, они затрагивают многих людей, компактно поживающих на таких территориях. Кроме того, наносится ущерб окружающей природе.
Одним из основных загрязнителей окружающей среды является сельскохозяйственное производство. В систему круговорота химических элементов искусственно вводятся значительные массы азота, калия, фосфора в виде минеральных удобрений. Их избыток, не усвоенный растениями, активно вовлекается в водную миграцию. Накопление соединений азота и фосфора в природных водоемах вызывает усиленный рост водной растительности, зарастание водоемов и загрязнение их мертвыми растительными остатками и продуктами разложения. Кроме того, аномально высокое содержание растворимых соединений азота в почве влечет за собой повышение концентрации этого элемента в сельскохозяйственных продуктах питания и питьевой воде. Это может вызвать серьезные заболевания людей.
В качестве примера, показывающего изменения структуры биологического круговорота в результате деятельности человека, можно рассмотреть данные для лесной зоны европейской части России (таблица). В доисторические времена вся эта территория была покрыта лесами, сейчас их площадь уменьшилась почти вдвое. Их место заняли поля, луга, пастбища, а также города, поселки, транспортные магистрали. Уменьшение общей массы некоторых элементов за счет общего уменьшения массы зеленых растений компенсируется внесением удобрений, которое вовлекает в биологическую миграцию значительно больше азота, фосфора и калия, чем естественная растительность. Вырубка леса и распашка почв способствуют усилению водной миграции. Таким образом, существенно увеличивается содержание соединений некоторых элементов (азота, калия, кальция) в природных водах.

Рис. 2. ЗАГРЯЗНЕНИЕ ОКРУЖАЮЩЕЙ СРЕДЫ опасными отходами. Основная доля опасных отходов образуется за счет продукции химической промышленности
- ПРИРОДНЫЕ РЕСУРСЫ И ИХ КЛАССИФИКАЦИЯ
Приро́дные ресу́рсы — естественные ресурсы: тела и силы природы, которые на данном уровне развития производительных сил и изученности могут быть использованы для удовлетворения потребностей человеческого общества.
Приро́дные ресу́рсы — совокупность объектов и систем живой и неживой природы, компоненты природной среды, окружающие человека и которые используются в процессе общественного производства для удовлетворения материальных и культурных потребностей человека и общества.
Классификация
По происхождению:
- Ресурсы природных компонентов (минеральные, климатические, водные, растительные, земельные, почвенные, животного мира)
- Ресурсы природно-территориальных комплексов (горно-промышленные, водохозяйственные, селитебные, лесохозяйственные)
По видам хозяйственного использования:
- Ресурсы промышленного производства
- Энергетические ресурсы (Горючие полезные ископаемые, гидроэнергоресурсы, биотопливо, ядерное сырье)
- Неэнергетические ресурсы (минеральные, водные, земельные, лесные, рыбные ресурсы)
- Ресурсы сельскохозяйственного производства (агроклиматические, земельно-почвенные, растительные ресурсы — кормовая база, воды орошения, водопоя и содержания)
По виду исчерпаемости:
- Исчерпаемые
- Невозобновляемые (минеральные, земельные ресурсы)
- Возобновляемые (ресурсы растительного и животного мира)
- Не полностью возобновляемые — скорость восстановления ниже уровня хозяйственного потребления (пахотно пригодные почвы, спеловозрастные леса, региональные водные ресурсы)
- Неисчерпаемые ресурсы (водные, климатические)
По степени заменимости:
- Незаменимые
- Заменимые
По критерию использования:
- Производственные (промышленные, сельскохозяйственные)
- Потенциально-перспективные
- Рекреационные (природные комплексы и их компоненты, культурно-исторические достопримечательности, экономический потенциал территории)
- УРАВНЕНИЕ ПЕРЛА-ФЕРХЮЛЬСТА
Логистическое уравнение, также известное, как уравнение Ферхюльста (по имени впервые сформулировавшего его бельгийского математика), изначально появилось при рассмотрении модели роста численности населения.
Исходные предположения для вывода уравнения при рассмотрении популяционной динамики выглядят следующим образом:
скорость размножения популяции пропорциональна её текущей численности, при прочих равных условиях
скорость размножения популяции пропорциональна количеству доступных ресурсов, при прочих равных условиях. Таким образом, второй член уравнения отражает конкуренцию за ресурсы, которая ограничивает рост популяции.
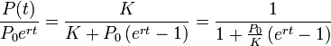
Обозначая через P численность популяции (в экологии часто используется обозначение N ), а время — t, модель сводится к дифференциальному уравнению:
![]()
где параметр r характеризует скорость роста (размножения), а K — ёмкость среды (то есть, максимально возможную численность популяции). Исходя из названия коэффициентов, в экологии часто различают две стратегии поведения видов:
- r -стратегия предполагает бурное размножение и короткую продолжительность жизни особей
- а K -стратегия — низкий темп размножения и долгую жизнь.
Точным решением уравнения (где P — начальная численность популяции) является логистическая функция, S-образная кривая, (логистическая кривая):


Логистическая кривая для K =1 и P =0,5
где
![]()
Ясно, что в ситуации «достаточного объёма ресурсов», то есть пока P(t) много меньше K, логистическая функция поначалу растёт приблизительно экспоненциально:

Аналогично, при «исчерпании ресурсов» (t → ∞) разность K − P(t) экспоненциально убывает с таким же показателем.
Почему Ферхюльст назвал уравнение логистическим, остается неизвестным. В 1924 году Раймонд Перл применил уравнение для описания автокаталитических реакций.
Автокатализ — катализ химической реакции одним из её продуктов или исходных веществ. Одним из наиболее широко известных примеров автокатализа является окисление щавелевой кислоты перманганатом калия:
2MnO4− + 5C2O42− + 16H+ = 2Mn2+ + 10CO2 + 8H2O
Катализатором этой реакции являются ионы Mn2+. При комнатной температуре эта реакция вначале протекает медленно, но по мере накопления в растворе продукта-катализатора, она ускоряется.
Дискретным аналогом логистического уравнения является логистическое отображение .
Логистическое отображение (также известное, как квадратичное отображение или отображение Фейгенбаума) — полиномиальное отображение, хрестоматийно упоминаемое в качестве типичного примера того, как сложное, хаотическое поведение может возникать из очень простых нелинейных уравнений. Отображение является дискретным аналогом непрерывного логистического уравнения Ферхюльста, отражая тот факт, что прирост популяции происходит в дискретные моменты времени.
Математическая формулировка отображения
![]()
где:
- x n принимает значения от 0 до 1 и отражает численность популяции в -ом году, а обозначает начальную численность (в год номер 0)
- r — положительный параметр, характеризующий скорость размножения (роста) популяции.
Иногда данная формулировка называется отображением Ферхюльста (или Ферхюльста-Пирла ), а логистическим отображением называется другая, но эквивалентная по свойствам формула
![]()
Это нелинейное отображение описывает два эффекта:
- размножение популяции, со скоростью, пропорциональной ее численности в момент, когда численность мала.
- конкуренцию (смертность при высокой плотности) за жизненные ресурсы, при которой скорость размножения падает из-за ограничения на «максимальную емкость» среды, в которой обитает популяция.
Одним из недостатков использования отображения в качестве демографической модели является тот факт, что при некоторых начальных значениях и величинах параметров отображение дает отрицательные значения численности популяции. Подобного недостатка лишена дискретная модель Рикера, которая также демонстрирует хаотическое поведение.
- ОБЬЕСНИТЕ ЭКОЛОГИЧЕСКИЙ СМЫСЛ ПРАВИЛА 1%
Проблема стабильности экосистем
— Что понимается под устойчивостью экосистемы?
— Объясните экологический смысл правила 1%.
*Важнейшей особенностью любой естественной экосистемы (биогеоценоза) является ее способность к саморегулированию , т. е. к поддержанию основных параметров во времени и пространстве на определенном уровне. Способность экосистем сохранять свою структуру и функции при воздействии внешних факторов называется стабильностью экосистем . Следует различать понятия «стабильность экосистемы» и «устойчивость экосистемы». Под устойчивостью понимают способность экосистемы возвращаться в исходное (или близкое к нему) состояние после воздействия факторов, выводящих ее из равновесия. Относительную стабильность экосистем обеспечивает устойчивый круговорот веществ и поток энергии.
Наиболее стабильны биогеоценозы, достигшие климаксного состояния. При этом стабильность биогеоценоза находится в прямой зависимости от его сложности, т. е. чем больше видовое разнообразие биогеоценоза, тем он стабильнее. В сложных биогеоценозах формируются сложные пищевые взаимоотношения, сложные цепи и сети питания. Биоценозы с упрощенной структурой крайне неустойчивы, в них происходят резкие колебания численности отдельных популяций.
В естественных условиях через любую биологическую систему, в том числе и биоценоз, постоянно проходит поток энергии. Согласно второму закону термодинамики, рассеивание энергии связано с принципом стабильности. В силу этого любой естественный биоценоз развивается в направлении устойчивого состояния. Это было ранее показано на примере сукцессий, ведущих к климаксу.
Все искусственно создаваемые в сельскохозяйственной практике экосистемы полей, садов, пастбищных лугов, огородов, теплиц и др., все агроценозы (от греч. agros — поле) — сообщества растений, созданные человеком, представляют собой системы, специально поддерживаемые человеком на начальных стадиях сукцессии. В агроценозах используется именно их свойство производить высокую чистую продукцию, так как все конкурентные воздействия на культивируемые растения со стороны сорняков и вредителей сдерживаются агротехническими мероприятиями. Агроценозы неустойчивы, они требуют неустанной деятельности по их поддержанию со стороны человека (борьба против массового размножения вредителей или болезней и др.).

Пример агроэкосистемы
С экологических позиций крайне опасно упрощать природное окружение человека, превращая весь ландшафт в агрохозяйственный. «Если дикая природа отступает, — писал Ч. Элтон, — мы должны научиться передавать часть ее стойкости и богатства
ландшафтам тех земель, с которых мы снимаем наши урожаи». Наряду с поддержанием высокопродуктивных полей следует особенно заботиться о сохранении как можно более многообразных заповедных, не подвергающихся усиленному антропогенному воздействию, участков разного масштаба.
**Заканчивая обсуждение проблемы стабильности экосистем, сформулируем очень важное экологическое правило, называемое правилом 1%.
Изменение энергетики природной экосистемы в среднем на 1% (от 0,3 до 1%) выводит систему из состояния равновесия.
Оценки В. Г. Горшкова свидетельствуют о том, что устойчивое существование глобальной экосистемы — биосферы (подробно в главе 4) возможно, если доля потребления чистой первичной продукции (на уровне консументов высших порядков) не превосходит 1%.
Один процент от современного содержания кислорода в свободной атмосфере планеты сделал возможным появление организмов, энергетические процессы в которых основывались на дыхании кислородом (водные организмы). Понадобилось накопление десятой части от современного содержания кислорода в тропосфере, чтобы жизнь смогла выйти на сушу, смогли осуществляться обмен веществ и энергетические процессы у наземных организмов и их сообществ. Иногда в научной литературе точки 1% и 10% называют точками Пастера.
Точки Пастера — критические для истории биосферы Земли уровни содержания кислорода в атмосфере планеты:
а) точка 1% — соответствует достижению уровня содержания кислорода в атмосфере Земли 1% от современного, когда стала возможна аэробная жизнь;
б) точка 10% — соответствует достижению уровня содержания кислорода в атмосфере Земли 10% от современного, что привело к формированию озонового экрана (озоносферы) и дало возможность жизни существовать среди мелководья и выйти на сушу.